2026-04-20 17:51:32 +02:00

1.9 KiB
Raw Blame History

Exercise: Growth curve model with interaction

Risperidone vs. haloperidol and schizophrenia (Möller et al. 2008)

Analyze the data from moeller.csv:

  • pans: Positive and Negative Symptom Scale for schizophrenia
  • treat: medication group
    • risp: atypical neuroleptic risperidone
    • halo: conventional neuroleptic haloperidol
dat       <- read.table("../data/moeller.csv", header = TRUE, sep = ",")
dat$id    <- factor(dat$id)
dat$treat <- factor(dat$treat, levels = c("risp", "halo"))

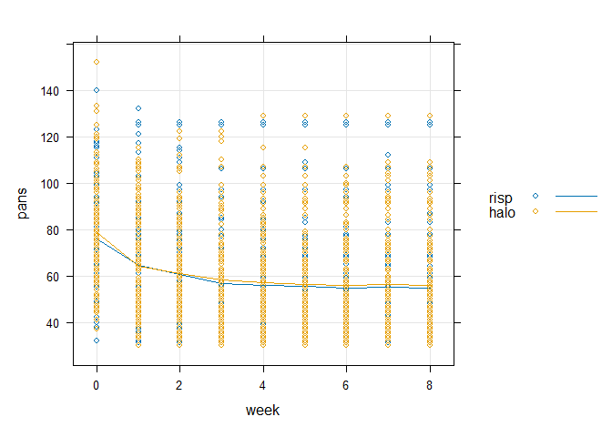
lattice::xyplot(pans ~ week, data = dat, groups = treat,
                type = c("g", "p", "a"), auto.key = TRUE)
  • What is the sample size in each treatment group?

  • Estimate a random slope model

    • What are the estimates for the fixed effects and variance components?
  • Fit a model with quadratic time trends for the population and individual subjects

  • Add an interaction with treatment for the linear and the quadratic effects for week and test them

  • Interpret your results: Which model would you choose?

  • Refit the model that you chose with a centered week variable:

    • Compare the estimates for your fixed effects and the covariance components
    • Which estimates change and why?

Reference

Möller, H.-J., M. Riedel, M. Jäger, F. Wickelmaier, W. Maier, K.-U. Kühn, G. Buchkremer, et al. 2008. “Short-Term Treatment with Risperidone or Haloperidol in First-Episode Schizophrenia: 8-Week Results of a Randomized Controlled Trial Within the German Research Network on Schizophrenia.” International Journal of Neuropsychopharmacology 11 (7): 98597. https://doi.org/10.1017/S1461145708008791.